
1. 다항식의 연산 - 용어 정리
@ 용어의 정리는 앞으로 수학을 해나가기 위해 서로 한 약속이니까 어떤 내용이 있는지 알아두되 너무 꼼꼼하게 암기하려 하지 않기 바랍니다. 대신 내용은 전부 이해하고 있어야 합니다.
- 항 (Term) : 문자나 숫자의 곱으로 이루어진 것을 의미한다.
- 상수항 (Constant term) : 숫자로만 이루어진 항, 약자 C로 표시한다.
- 단항식도 다항식에 포함된다.
- '~에 대한 ~차식' 이라는 것은 한 문자에 주목하고 그 문자가 곱해진 개수를 중요하게 보겠다는 의미 한다.
- 동류항 : 어떤 문자에 주목할 때 그 문자의 차수가 같은 항을 뜻한다.
- 나눗셈을 하는 문자식이나 근호가 있거나, 괄호가 있는 문자식 전체가 지수로 묶인 경우는 단항식도 다항식도 아니다.

- 다항식을 정리하는 방법 : 내림차순, 오름차순

거의 내림차순만 사용하니 오름차순은 있다는 정도만 알아두면 됩니다.
2. 다항식의 연산 - 덧셈과 뺄셈, 지수법칙
- 다항식의 연산의 기본 법칙
A, B, C를 다항식이라고 할 때 다음 법칙이 성립한다. 여기서 "A, B, C를 각각 다항식이라 할 때"라는 조건을 한번 살펴보면 앞으로 배울 수학에서는 복잡한 수식을 하나의 문자로 축약함으로써 좀 더 쉽게 표현해서 설명할 수 있고 후에 다항식을 한 문자로 치환하는 방법을 통해 이러한 표현 방법이 실제 계산에서도 유용하게 사용된다는 것을 알 수 있게 됩니다.
여기서 다항식 A, B, C는 정해진 한 가지 다항식을 이야기하는 것이 아니라 다항식끼리면 어떤 것이든 상관없이 아래 법칙이 성립한다는 것을 설명하기 위해 각각의 다항식을 기호 하나로 표현한 것입니다.
(1) 교환법칙 : A+B = B+A, AB = BA
(2) 결합법칙 : (A+B)+C = A+(B+C), (AB)C = A(BC)
(3) 분배법칙 : A(B+C) = AB+AC, (A+B)C = AC+BC
- 다항식의 뺄셈
다항식의 뺄셈의 경우 괄호 앞에 음의 부호(-)가 있다면 괄호를 풀어줄 때 괄호 안의 모든 부호가 바뀐다는 사실을 주의하시기 바랍니다. 계산을 하다 보면 부호가 틀려서 답이 틀리는 경우가 많으니까요.
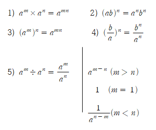
- 지수법칙
a, b가 실수 또는 다항식이고, m, n이 정수 일 때

- 지수법칙 해설


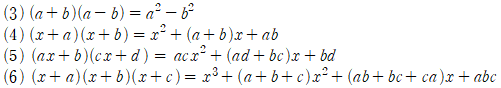
3. 다항식의 연산 - 곱셈공식과 나눗셈
- 곱셈공식
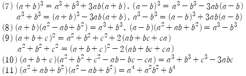
다항식을 일일이 전개하여 곱하는 것은 너무 시간과 에너지가 많이 드는 일이므로 자주 사용되는 다항식의 곱셈과정들의 전개 과정을 생략해 빠르게 연산할 수 있도록 정리해 둔 것이 곱셈 공식입니다.
구구단처럼 암기해 놓고 쉽게 써먹지 못하면 사실상 고등과정의 문제들을 풀이하는 것이 불가능에 가까우니 반드시 암기해 두시기 바라며 단순 암기가 아니라 어떻게 정리된 식을 사용할 수 있게 되었는지 직접 전개를 해서 연산을 해 보는 것도 많은 도움이 됩니다.
수학은 단순 공식 암기로 접근을 하면 조금만 변형되어도 문제를 풀지 못하게 되는 경우가 많이 있습니다.

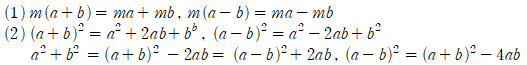
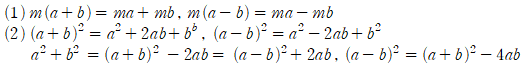
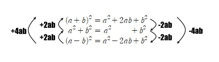
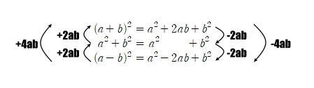
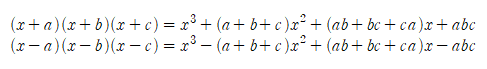
완전제곱식은 이차함수를 풀이 할 때 가장 많이 사용됩니다. 이 수식은 아래와 같이 암기하면 변형공식 까지 조금 더 쉽게 익힐 수 있습니다.


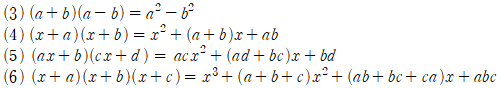
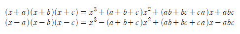
(6)에 해당하는 공식은 다항식 3개의 곱셈부터는 경우의 수를 생각하며 전개해 나가는 것이 도움이 됩니다. 다항식이 세 개이니까 재료를 각 다항식에서 각각 한 개씩 뽑아서 한 묶음으로 만들면 재료 세 개가 한 묶음이 됩니다. 그것을 나열하면 됩니다.
전개가 되는 경우는 다음과 같습니다. x 만 세 개인 경우, x가 두 개 들어가고 문자가 하나 들어가는 경우, x가 한 개 들어가고 문자가 두 개 들어가는 경우, 문자만 세 개 들어가는 경우. 이렇게 총 네 가지 경우로 나누어 전개해 볼 수 있습니다. 그리고 아래와 같이 비교해서 외워두면 편리합니다.

여기서 음의 부호(-)가 들어간 곱셈 공식은 전개시에 +와 -가 교대로 나온다는 규칙성을 알 수 있습니다.
@이렇게 원리를 한번 생각 해 놓으면 x에 대한 차수가 계속 올라가도 전개하는데 일정한 패턴이 있다는 것을 알 수 있게 됩니다.

@ 곱셈공식을 이용해서 푸는 문제의 경우 저는 소위 재료 찾기라고 이야기하곤 했는데요. 예를 들어 보겠습니다.

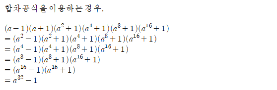
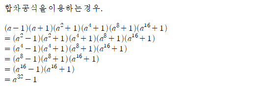
문제에서는 위와 같은 식의 값을 직접적으로 제공해 준뒤에 공식을 숙지하고 있는지 묻는 경우가 많습니다. 공식을 제대로 외우고 있다면 위에 주어진 재료들을 공식에 넣어주기만 하면 해결 가능한 문제들이 많습니다. 특히 5차식 이상의 고차식이 나온다면 위의 재료를 이용해서 푸는 경우나 (3) 합차공식을 이용하는 경우가 많습니다. 예를 들어 보겠습니다.

위 유형의 경우 (1), (2) 식은 재료 x+y와 xy만 있으면 풀 수 있게 하기 위해 8차식을 일부러 만들어 준 것입니다. +로 연결된 식을 곱해 만들어 주면 결국 재료는 주어진 x+y, xy를 통해 충분히 전부 만들어 낼 수 있습니다.

또한, 합차공식을 이용하면 위와 같이 짝수식의 높은 차수의 식도 해결 할 수 있습니다.
- 다항식의 나눗셈
일반적으로 다항식의 나눗셈에서는 조립제법이라는 편리한 툴을 사용하지만 이 포스팅에서는 직접 나누는 방법을 다루겠습니다. 조립제법은 이후 인수분해와 나머지정리를 다루는 파트에서 다루도록 하겠습니다. 다항식의 일반적인 나눗셈의 풀이는 아래와 같습니다.

풀이식은 자연수를 나눗셈하는 것과 거의 동일합니다. 자연수에서 나머지가 나누는 수보다 작아야 하듯 다항식의 나눗셈에서도 나머지의 차수가 나누는 다항식의 차수보다 반드시 낮아야 합니다. 나머지가 나누는 숫자보다 크면 몫으로 들어갈 부분이 남아 있는 것이기 때문입니다.
※ 수식이 틀렸거나 수정이 필요한 부분은 댓글로 남겨 주세요.
댓글